Notice
Recent Posts
Recent Comments
Link
| 일 | 월 | 화 | 수 | 목 | 금 | 토 |
|---|---|---|---|---|---|---|
| 1 | 2 | 3 | ||||
| 4 | 5 | 6 | 7 | 8 | 9 | 10 |
| 11 | 12 | 13 | 14 | 15 | 16 | 17 |
| 18 | 19 | 20 | 21 | 22 | 23 | 24 |
| 25 | 26 | 27 | 28 | 29 | 30 | 31 |
Tags
- ㅒ
- 이터레이터
- 처음 만나는 AI수학 with Python
- 선형대수
- 목록처리
- 처음 만나는 AI 수학 with Python
- network configuration
- 친절한SQL튜닝
- 자료구조와 함께 배우는 알고리즘 입문
- 리눅스
- 코드로배우는스프링웹프로젝트
- 서버설정
- 데비안
- iterator
- Kernighan의 C언어 프로그래밍
- 코드로배우는스프링부트웹프로젝트
- resttemplate
- 알파회계
- 자료구조와함께배우는알고리즘입문
- d
- /etc/network/interfaces
- baeldung
- 티스토리 쿠키 삭제
- 자바편
- 네트워크 설정
- 페이징
- 구멍가게코딩단
- 스프링 시큐리티
- 스프링부트핵심가이드
- GIT
Archives
- Today
- Total
bright jazz music
미분 : 1. 극한과 미분(극한, 도함수, 미분, 상미분) 본문
#극한과 미분
#극한은 함수에서 변수값을 어떤 값에 가깝게 할 때 함수의 값이 한없이 가까워지는 값을 말한다.
#y=x^2 + 1 에서 x가 점점 작아지는 경우 0에 수렴한다.
#따라서 y=1에 가까워진다.
#미분은 변화의 비율을 말한다.
1. 극한
| LaTeX | 수식 |
| $lim_{x \to 0}{y} = lim_{x \to 0}{(x^2+1)}=1 $ | ![]() |
이 식의 의미 : "x를 한없이 0에 가깝게 하면 y가 1에 가까워진다."
2. 도함수와 미분
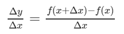
함수 y=f(x)에서, x의 미소한 변화량을 x로 하면, x를 Δx 만큼 변화 시킬 때의 y 값은 아래와 같다.
| LaTeX | 수식 |
| $y=f(x+\Delta{x})$ *델타의 기호가 대문자임을 주의. d를 쓸 경우 소문자 델타로 표기됨 |
이 때 y의 미소한 변화량은 다음과 같다.
| LaTeX | 수식 |
| $\Delta{y}= f(x+\Delta{x})-f(x)$ |
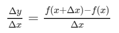
따라서 y의 미소한 변화 Δy와 x의 미소한 변화 Δx의 비율은 다음 식으로 표현한다.
| LaTeX | 수식 |
| $\frac{\Delta{y}}{\Delta{x}} = \frac{f(x+\Delta{x}) -f(x)}{\Delta{x}}$ | ![]() |
이 식에서 Δx의 값이 0에 한없이 가까워지는 극한을 생각하자.
이 극한은 새로운 함수 f '(x)로서 나타낼 수 있다.
| LaTeX | 수식 |
| $f\prime(x) = lim_{\Delta{x} \to 0}{\frac{f(x+\Delta{x}) -f(x)}{\Delta{x}}}$ | ![]() |
- 이 새로운 함수 f '(x)를 f(x)의 도함수(derivative, 導函數)라고 부른다.
여기서 '도(導)'는 유도하다, 이끌다의 뜻을 가진 한자이다. derivative는 파생되었다는 뜻을 가지고 있다. 따라서 도함수는 원래 함수에서 유도되어 떨어져 나온 함수라는 뜻을 가지고 있다고 할 수 있다.
- 그리고 함수 f(x)로부터 도함수 f '(x)를 얻는 것을 f(x)를 미분한다고 한다.
함수 f(x)를 미분하라 == 함수 f(x)의 도함수 f '(x)를 구하라 == x의 변화에 대한 y의 변화의 비율을 구하라
도함수는 아래와 같이 표기할 수 도 있다.
| LaTeX | 수식 |
| $f\prime(x) = \frac{df(x)}{dx}=\frac{d}{dx}f(x)$ | ![]() |
여기의 예시에서는 함수의 변수가 x 하나뿐이었다. 이와 같은 1변수 함수의 대한 미분을 상미분이라고 한다.
x에 대한 y의 변화 비율을 기울기(경사, 그라디언트, 구배)라고 부르는데, 도함수를 사용하여 1변수 함수 상의 특정 점에서의 기울기를 구할 수 있다. 함수 f(x) 상의 어떤 점 (a, f(a))에서의 기울기는 f '(a)가 된다.
아래 그림 참고

- 위 그림에서 기울어진 파선은 곡선 상의 점 (a, f(a))에서의 접선이다.
- 이 접선의 x에 대한 y의 변화율, 즉 기울기는 f '(a)이다
- 이 점에서 곡선과 접선의 국소적인 기울기가 같아진다.
ㅇ
Comments






