| 일 | 월 | 화 | 수 | 목 | 금 | 토 |
|---|---|---|---|---|---|---|
| 1 | 2 | 3 | 4 | 5 | 6 | 7 |
| 8 | 9 | 10 | 11 | 12 | 13 | 14 |
| 15 | 16 | 17 | 18 | 19 | 20 | 21 |
| 22 | 23 | 24 | 25 | 26 | 27 | 28 |
| 29 | 30 | 31 |
- 스프링부트핵심가이드
- 티스토리 쿠키 삭제
- 친절한SQL튜닝
- 코드로배우는스프링부트웹프로젝트
- 알파회계
- 서버설정
- 목록처리
- /etc/network/interfaces
- network configuration
- iterator
- Kernighan의 C언어 프로그래밍
- 자바편
- 이터레이터
- 페이징
- 선형대수
- baeldung
- 코드로배우는스프링웹프로젝트
- 처음 만나는 AI 수학 with Python
- 데비안
- d
- GIT
- 네트워크 설정
- 구멍가게코딩단
- resttemplate
- 자료구조와 함께 배우는 알고리즘 입문
- 처음 만나는 AI수학 with Python
- 스프링 시큐리티
- 리눅스
- ㅒ
- 자료구조와함께배우는알고리즘입문
- Today
- Total
bright jazz music
기초수학: 10. LaTex 수식 표기법(주피터 노트북 사용 + 무설치) 본문
주피터 노트북 사이트 접근
Project Jupyter
The Jupyter Notebook is a web-based interactive computing platform. The notebook combines live code, equations, narrative text, visualizations, interactive dashboards and other media.
jupyter.org



참고![]() Code로 되어 있으면 Cell 옆에 " [ ]: " 표시가 존재한다. ![]() Markdown으로 변경했을 경우 " [ ] : " 표시가 사라진다. |
셀타입 변경

수식 입력 및 변환


이처럼 $를 하나만 사용하는 방식은 수식을 문장과 함께 사용할 때 유용하다.
수식 가운데 정렬


수식이 가운데 정렬 되었다. $를 2개 사용하는 방식은 수식 자체를 나타낼 때 유용하다.
$와 $$ 비교
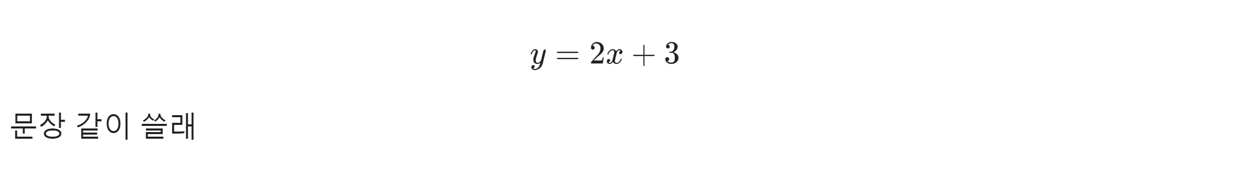
| $ y=2x+3 $ 문장 같이 쓸래 | |
| $$ y=2x+3 $$ 문장 같이 쓸래 | ![]() |
수식이 가운데 정렬 되고 문장이 한 줄 내려가는 것을 볼 수 있다.
수식 표현법
첨자와 거듭제곱
"^"와 "_"를 이용해서 오른쪽 위 첨자와 오른쪽 아래 첨자를 표현할 수 있다.
첨자가 여러 개 있는 경우 "{ }"로 감싼다.
| 수식 | LaTex |
| a_1 | |
| a_{ij} | |
| b^2 | |
| b^{ij} | |
| c_1^2 |
다항식
| $y=x^3+2x^2+x+3$ |
함수 사용법: 함수 앞에 \ (역슬래시, 이스케이프 문자)를 붙인다.
제곱근
\sqrt를 이용해 루트 기호를 기술할 수 있다.
*아래는 편의상 $수식$ 을 사용했다. $$수식$$ 형태를 수식 변환에 영향을 미치지 않는다.
| $y=\sqrt x$ |
삼각함수
| $y=\sin x$ | |
| $y=\cos x$ | |
| $y=\tan x$ |
분수
\frac{ }{ } 을 이용해서 분수를 기술할 수 있다.
| $y=\frac{17}{24}$ |
총합
\sum 사용
| $y=\sum_{k=1}^n a_k$ |
총곱
\prod 사용
| $y=\prod_{k=1}^n a_k$ |
-----------------
실습
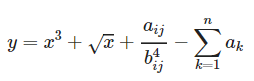
| $$y=x^3+\sqrt x + \frac{a_{ij}}{b_{ij}^4} - \sum_{k=1}^n a_k$$ | ![]() |
'Math > 기초수학' 카테고리의 다른 글
| 최대공약수와 최소공배수, 유클리드 호제법, 기약분수 (0) | 2024.11.26 |
|---|---|
| 기초수학 : 9. 절댓값 (1) | 2022.07.19 |
| 기초수학 : 8. 난수 (0) | 2022.07.18 |
| 기초수학 : 7. 총곱 (0) | 2022.07.17 |
| 기초수학 : 6. 총합 (0) | 2022.07.17 |

















