Notice
Recent Posts
Recent Comments
Link
| 일 | 월 | 화 | 수 | 목 | 금 | 토 |
|---|---|---|---|---|---|---|
| 1 | 2 | 3 | 4 | 5 | 6 | 7 |
| 8 | 9 | 10 | 11 | 12 | 13 | 14 |
| 15 | 16 | 17 | 18 | 19 | 20 | 21 |
| 22 | 23 | 24 | 25 | 26 | 27 | 28 |
Tags
- 코드로배우는스프링부트웹프로젝트
- 스프링 시큐리티
- ㅒ
- 페이징
- 데비안
- 네트워크 설정
- 리눅스
- 처음 만나는 AI수학 with Python
- baeldung
- 코드로배우는스프링웹프로젝트
- /etc/network/interfaces
- Kernighan의 C언어 프로그래밍
- 친절한SQL튜닝
- network configuration
- 선형대수
- 처음 만나는 AI 수학 with Python
- 자료구조와 함께 배우는 알고리즘 입문
- 스프링부트핵심가이드
- 서버설정
- 목록처리
- d
- 자료구조와함께배우는알고리즘입문
- 이터레이터
- iterator
- 알파회계
- 구멍가게코딩단
- 티스토리 쿠키 삭제
- GIT
- 자바편
- resttemplate
Archives
- Today
- Total
bright jazz music
기초수학 : 6. 총합 본문
총합
여러 개의 수치(스칼라)를 모두 더하는 것이다.
예는 다음과 같다.
1 + 3 + 2 + 5 + 4
총합의 일반화
이 때 수치의 총수를 n개로 일반화 하면 아래와 같다.
시그마 기호를 이용한 총합 간략화 표현
이것을 Σ (시그마)를 이용해서 간략히 표현할 수 있다.
![]() |
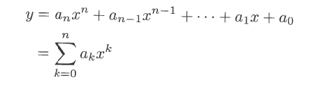
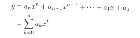
다항식의 일반형
![]() |
실습 1
a1 = 1, a2 = 3, a3 = 2, a4 =5, a5 = 4
y = sum k=1 to n ak
import numpy as np
import matplotlib.pyplot as plt
a_list = [1, 3, 2, 5, 4] # a1부터 a5까지의 리스트
a_array = np.array(a_list) #numpy array로 변환
y = np.sum(a_array)
print(y)
# 결과
# 15
#{}는 딕셔너리다. 리스트는 []
'Math > 기초수학' 카테고리의 다른 글
| 기초수학 : 8. 난수 (0) | 2022.07.18 |
|---|---|
| 기초수학 : 7. 총곱 (0) | 2022.07.17 |
| 기초수학 : 5. 삼각함수 (0) | 2022.07.16 |
| 기초수학 : 4. 다항식 함수 (0) | 2022.07.15 |
| 기초수학 : 3. 거듭제곱과 제곱근 (0) | 2022.07.14 |
Comments


