Notice
Recent Posts
Recent Comments
Link
| 일 | 월 | 화 | 수 | 목 | 금 | 토 |
|---|---|---|---|---|---|---|
| 1 | 2 | 3 | 4 | 5 | 6 | 7 |
| 8 | 9 | 10 | 11 | 12 | 13 | 14 |
| 15 | 16 | 17 | 18 | 19 | 20 | 21 |
| 22 | 23 | 24 | 25 | 26 | 27 | 28 |
Tags
- 티스토리 쿠키 삭제
- network configuration
- 선형대수
- 처음 만나는 AI수학 with Python
- iterator
- 페이징
- 스프링부트핵심가이드
- 이터레이터
- 구멍가게코딩단
- 코드로배우는스프링부트웹프로젝트
- 처음 만나는 AI 수학 with Python
- Kernighan의 C언어 프로그래밍
- 자료구조와함께배우는알고리즘입문
- 자바편
- 서버설정
- 리눅스
- d
- 자료구조와 함께 배우는 알고리즘 입문
- GIT
- resttemplate
- ㅒ
- 친절한SQL튜닝
- 코드로배우는스프링웹프로젝트
- baeldung
- /etc/network/interfaces
- 스프링 시큐리티
- 데비안
- 목록처리
- 네트워크 설정
- 알파회계
Archives
- Today
- Total
bright jazz music
기초수학 : 4. 다항식 함수 본문
다항식 함수는 가장 기본적인 함수의 형태이다.
다항식
다항식은 아래와 같이 다수의 항으로 이루어져 있다.
4x³ + 2x² + x +3
다항식 함수
다항식 함수는 위와 같은 다항식을 이용한 함수이다.
다항식 함수의 예는 아래와 같다.
y = 4x³ + 2x² + x +3
# ' y = ' 가 추가됨
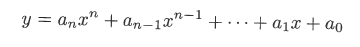
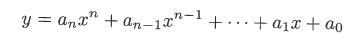
다항식 함수의 일반화
이 경우, x의 지수(차수) 중 가장 큰 것은 n이다. 따라서 이러한 다항식을 n차 다항식이라고 한다.
실습 1
#다항식 3x^2 + 2x + 1을 표현
import numpy as np
import matplotlib.pyplot as plt
def my_func(x):
return 3*x**2 + 2*x +1 #다항식 3x^2 + 2x + 1 반환
x = np.linspace(-1, 1)
y = my_func(x)
plt.plot(x, y) #파라미터 값들을 이용해서 그려라
plt.xlabel("x", size=14)
plt.ylabel("y", size=14)
plt.grid()
plt.show()

실습 2
#다항식 4x^3 + 2x^ + 3 표현
import numpy as np
import matplotlib.pyplot as plt
def my_func(x):
return 4*x**3 + 2*x**2 + x + 3 #다항식 4x^3 + 2x^ + 3 반환
x = np.linspace(-2, 2)
y = my_func(x)
plt.plot(x, y)
plt.xlabel("x", size=14)
plt.ylabel("y", size=14)
plt.grid()
plt.show()

실습3
#다항식 y = x^3 - 2x^ -3x + 4 표현
import numpy as np
import matplotlib.pyplot as plt
def my_func(x):
return x**3 - 2*x**2 -3*x + 4 #다항식 x^3 - 2x^ -3x + 4 반환
x = np.linspace(-2, 2)
y = my_func(x)
plt.plot(x, y)
plt.xlabel("x", size=14)
plt.ylabel("y", size=14)
plt.grid()
plt.show()

'Math > 기초수학' 카테고리의 다른 글
| 기초수학 : 6. 총합 (0) | 2022.07.17 |
|---|---|
| 기초수학 : 5. 삼각함수 (0) | 2022.07.16 |
| 기초수학 : 3. 거듭제곱과 제곱근 (0) | 2022.07.14 |
| 기초수학 : 2. 함수 (0) | 2022.06.24 |
| 기초수학 : 1. 변수와 상수 (0) | 2022.06.24 |
Comments
