Notice
Recent Posts
Recent Comments
Link
| 일 | 월 | 화 | 수 | 목 | 금 | 토 |
|---|---|---|---|---|---|---|
| 1 | 2 | 3 | 4 | 5 | 6 | 7 |
| 8 | 9 | 10 | 11 | 12 | 13 | 14 |
| 15 | 16 | 17 | 18 | 19 | 20 | 21 |
| 22 | 23 | 24 | 25 | 26 | 27 | 28 |
| 29 | 30 | 31 |
Tags
- iterator
- 자바편
- 처음 만나는 AI수학 with Python
- 코드로배우는스프링부트웹프로젝트
- 티스토리 쿠키 삭제
- 자료구조와함께배우는알고리즘입문
- /etc/network/interfaces
- 선형대수
- 처음 만나는 AI 수학 with Python
- Kernighan의 C언어 프로그래밍
- 페이징
- 코드로배우는스프링웹프로젝트
- network configuration
- 친절한SQL튜닝
- 서버설정
- 이터레이터
- 알파회계
- 리눅스
- 스프링 시큐리티
- 자료구조와 함께 배우는 알고리즘 입문
- resttemplate
- ㅒ
- d
- GIT
- 네트워크 설정
- 목록처리
- baeldung
- 데비안
- 구멍가게코딩단
- 스프링부트핵심가이드
Archives
- Today
- Total
bright jazz music
선형대수 : 5. 내적(스칼라 곱,dot product, scarla product) 본문
내적(스칼라 곱, dot product, scarla product)
- 내적은 벡터 사이의 곱의 한 종류이다.
- 각 요소(scarla)끼리 곱한 값을 총합한다.
- 여기서 스칼라는 크기만 있고 방향은 가지지 않는 양이다.
- 즉, 방향이 있는 두 개의 벡터 값의 스칼라를 계산하는 것을 뜻한다.
- 주로 두 벡터 간의 각도를 구하기 위해 사용된다
- 내적은 두 개 벡터의 상관관계를 구할 때 빈번히 사용한다.
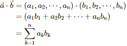
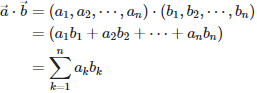
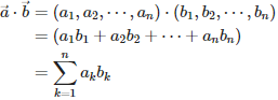
| $\vec{a}=(a_{1}, a_{2}, \cdots , a_{n})$ | |
| $\vec{b}=(b_{1}, b_{2}, \cdots , b_{n})$ |
위 두 벡터를 내적한다.
| 내적 | |
| $\begin{align} \vec{a}\cdot\vec{b} &= (a_{1}, a_{2}, \cdots , a_{n})\cdot(b_{1}, b_{2}, \cdots , b_{n})\\ &=(a_{1}b_{1} + a_{2}b_{2} + \cdots + a_{n}b_{n})\\ &= \sum_{k=1}^n a_{k}b_{k}\\ \end{align}$ |
![]() |
주의:
- 내적을 구하려면 두 백터의 요소 수가 같아야 한다.
- 내적은 삼각함수를 이용해서 구하는 방법도 있다.
파이썬에서의 내적 구현
- 내적은 NumPy의 dot() 함수를 사용해서 구할 수 있다.
- sum() 함수를 사용해 각 요소의 곱의 총합으로도 구할 수 있다.
import numpy as np
a = np.array([1, 2, 3])
b = np.array([3, 2, 1])
print("--- dot() 함수 ---")
print(np.dot(a, b))
print()
print("--- sum() 함수 ---")
print(np.sum(a*b))
# --- dot() 함수 ---
# 10
#
# --- sum() 함수 ---
# 10
위에서 사용한 LaTeX 표기법에 대해
- 수식을 여러 줄 입력하는 경우 align을 상요할 수 있다. \begin{align}과 \end{align} 사이에 식을 입력해준다.
- LaTeX 표기법에서 개행(줄바꿈)하려면 반드시 ' \\ '를 넣어줘야 한다.
- 수식을 ' = '기호에 맞춰서 정렬하려면 '&=' 처럼 앞에 '&'를 붙여줘야 한다.
- 이 때 가장 처음 등장하는 '=' 기호에도 '&'을 붙여줘야 한다.
참고
[1] https://www.overleaf.com/learn/latex/Aligning_equations_with_amsmath
[3] https://ko.wikipedia.org/wiki/%EC%8A%A4%EC%B9%BC%EB%9D%BC%EA%B3%B1
'Math > 선형대수' 카테고리의 다른 글
| 선형대수 : 7. 행렬의 곱 (0) | 2022.07.25 |
|---|---|
| 선형대수 : 6. 놈 (노름, norm) (0) | 2022.07.24 |
| 선형대수 : 4. 텐서(Tensor) (0) | 2022.07.22 |
| 선형대수 : 3. 행렬 (0) | 2022.07.22 |
| 선형대수 : 2. 스칼라와 벡터 (0) | 2022.07.20 |
Comments


